单作用矮型液压千斤顶
首页 » 品牌工具 非标工装 » 凯恩特千斤顶 » 单作用矮型液压千斤顶

loading

分享到:

单作用矮型液压千斤顶

状态:
数量:

PDF下载

一、单作用矮型液压千斤顶特点

   ◆ 体积矮小,可以在有限空间内操作;

   ◆ 溢流孔兼有限制行程的功能;

   ◆ 防尘圈减少污染,延长液压千斤顶的使用寿命;

   ◆ 可互换的硬质沟槽鞍座为标准件;

   ◆ 千斤顶表面经特殊处理,耐腐蚀力更强;

   ◆ 单作用,负载回程;

   ◆ 配套3/8"-18NP快速液压接头与接头保护帽。


二、现场应用

现场应用


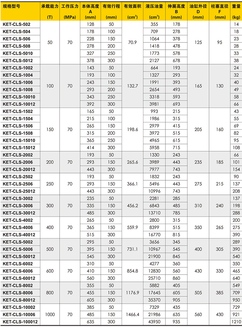
三、技术参数

单作用矮型液压千斤顶技术参数

上一条: 
下一条: 

产品分类

成都凯捷特科技有限公司
集生产、贸易、技术、服务于一体,专业经营代理吊索具、液压工具、发电机组、进口高端手动工具、电动工具、气动工具、研磨产品、精密量具、仪器仪表、电气配件等...

发电机组

联系我们


 www.kaijiete.cn
    www.cdkaijiete.cn
  028-83997437
 591613018@qq.com
  成都市新都区兴城大道1955号
   公众号二维码
 网站二维码
友情链接: 烘干设备  柴油发电机组   电主轴
 版权所有  成都凯捷特科技有限公司  蜀ICP备2021016823号-1